• Предмет: Математика
  • Автор: Hine186418
  • Вопрос задан 3 года назад

Помогите номер9 пж +130 балов

Приложения:

Ответы

Ответ дал: shayakhmetademi
1

Ответ:

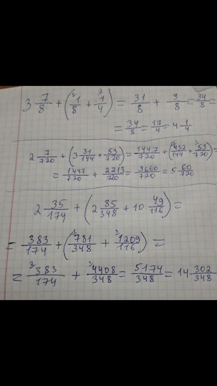
на фотке все написано думаю понятно

Пошаговое объяснение:

Приложения:
Ответ дал: tatsach
1

Ответ:

Пошаговое объяснение:

Приложения:
Вас заинтересует