• Предмет: Математика
  • Автор: kv6791977
  • Вопрос задан 3 года назад

!ТЕРМІНОВО! Допоможіть

Приложения:

Ответы

Ответ дал: EKIWERO13
1

Ответ:

1)0,27

2)31,86

3)6,08

точно

Ответ дал: ddruzinina787
1

Ответ:

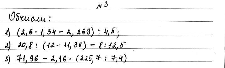
1) ( 2,6×1,34-2,269)÷4,5=( 3,484-2,269 )÷4,5=1,215÷4,5= 0,27

2) 20,8÷(12-11,36)-8÷12,5=20,8÷0,64-0,64=32,5-0,64= 31,86

3) 71,96-2,16×(225,7÷7,4)=71,96-2,16×30,5=71,96-65,88 =6,08


kv6791977: спасибо можешь чекнуть ответы на мои воопросы если что то не правильное скажы
Вас заинтересует