• Предмет: Алгебра
  • Автор: YoungMenu911
  • Вопрос задан 3 года назад

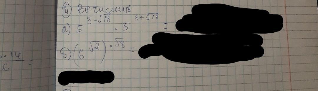
Помогите пожалуйста. Вычислить надо.

Приложения:

Ответы

Ответ дал: Universalka
1

\displaystyle\bf\\5^{3-\sqrt{18} } \cdot 5^{3+\sqrt{18} } =5^{3-\sqrt{18}+3+\sqrt{18}  }=5^{6} = 15625\\\\\\\Big(6^{\sqrt{2} } \Big)^{\sqrt{8} } =6^{\sqrt{2}\cdot \sqrt{8} }=6^{\sqrt{16} } =6^{4}=1296


vahilovdmi: Здравствуйте, помогите пожалуйста.
Вас заинтересует