• Предмет: Физика
  • Автор: densen4game05
  • Вопрос задан 3 года назад

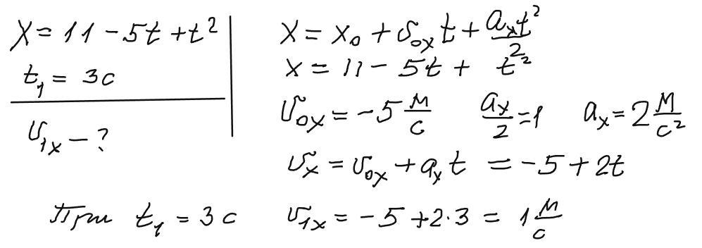
Тіло рухається вздовж осі Ох. Залежність координати тіла від часу описується рівнянням x = 11-5t + t^2. Визначте проекцію швидкості руху на вісь Ох через 3с після початку відліку часу.

Ответы

Ответ дал: zybkov1950
3

Відповідь: 1 м/с

Пояснення:

Приложения:

densen4game05: Спасибо вам за решение.
Вас заинтересует