• Предмет: Математика
  • Автор: Аноним
  • Вопрос задан 3 года назад


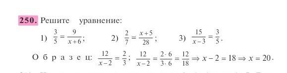
Решите пожалуйста дам 20 балов​

Приложения:

Ответы

Ответ дал: magicgirl8002
1

Ответ:

1) х= 9

2) х=3

3) х=28

Пошаговое объяснение:

Я решал по образцу


Аноним: спасибо
Вас заинтересует