• Предмет: Алгебра
  • Автор: moon4iikbs
  • Вопрос задан 3 года назад

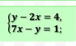
срочно розв'яжіть систему рівнянь методом підстановки (повна відповідь)

Приложения:

Ответы

Ответ дал: maksimmelnik2019
0

Ответ:

Объяснение:

y = 4 + 2x

y = 1 - 7x

4 + 2x = 1 - 7x

2x + 7x = 1 - 4

9x = -3

x = 0.333333...

y = 4.666666...

Вас заинтересует