• Предмет: Математика
  • Автор: jjjtt
  • Вопрос задан 3 года назад

ПОМОГИТЕ ПОЖАЛУЙСТА ЭТО ОЧЕНЬ СРОЧНО!!(

Приложения:

Ответы

Ответ дал: kzchmosniki
0

я сломалась..

аа да пхаха, у меня был не правильный ответ

Ответ дал: parus77
1

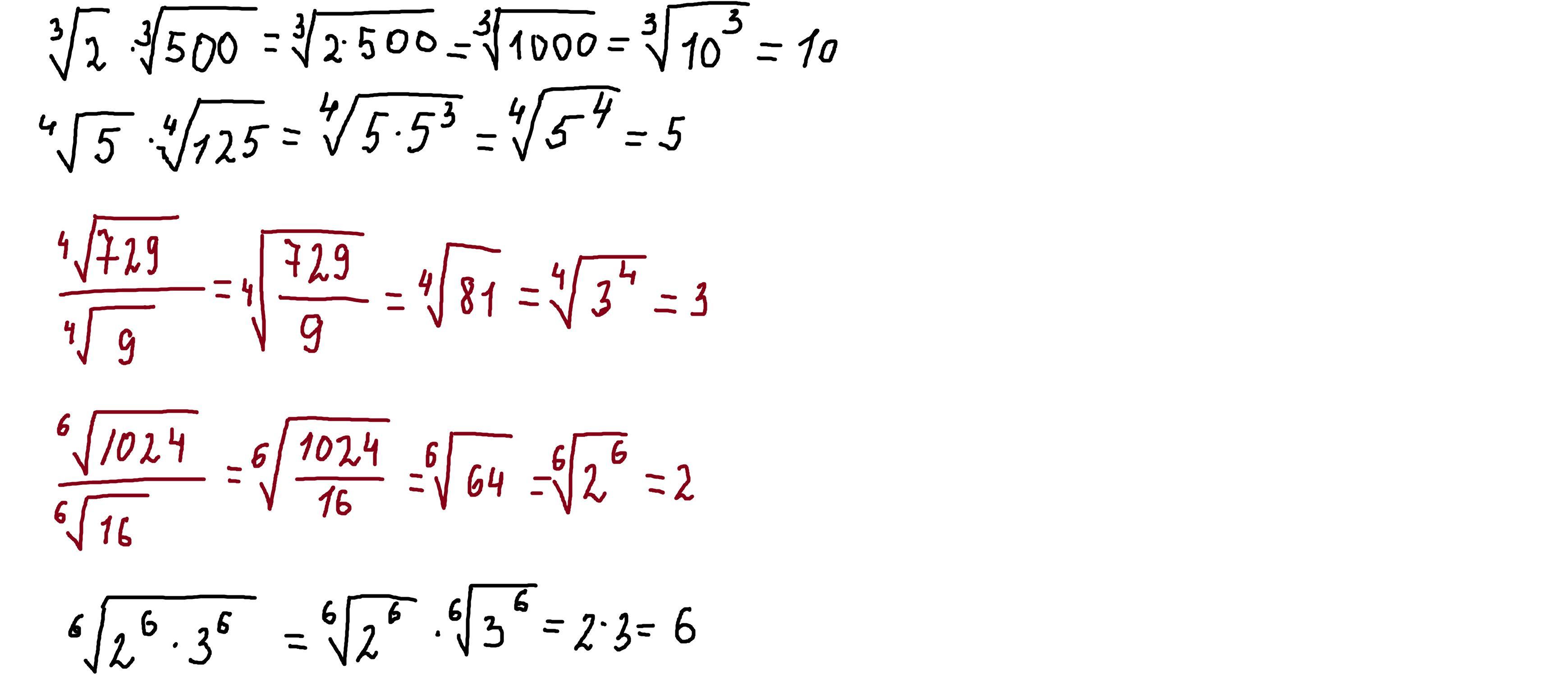
Ответ:

Пошаговое объяснение:

решение внизу

Приложения:
Вас заинтересует