• Предмет: Математика
  • Автор: melnikt890
  • Вопрос задан 3 года назад

Помогите пожалуйста.​

Приложения:

Ответы

Ответ дал: kladpolmepolina
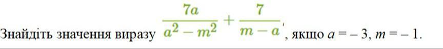
2

7*(-3)/(-3)^2-(-1)^2 + 7/-1-(-3)= -21/9+1 + 7/2= -2,1 + 3,5 = 1,4

Вас заинтересует