• Предмет: Физика
  • Автор: White1447
  • Вопрос задан 3 года назад

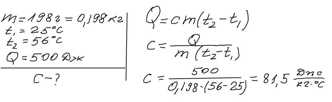
3 якої речовини виготовлена статуетка масою 198 г, якщо на її нагрівання від температури 25 °С до температури 56 °С витратили 500 Дж теплоти? Можно с решениям

Ответы

Ответ дал: zybkov1950
1

Відповідь: Див. додаток

Пояснення: З таблиці "питомі теплоємності речовин" знаходимо речовину. Однак з такою малою питомою теплоємністю немає. Якби

витратили 5000 Дж теплоти, то тоді можна говорити про скло

Приложения:

prin4ik: допоможіть будь ласкаа
Вас заинтересует