• Предмет: Алгебра
  • Автор: dkaguj
  • Вопрос задан 3 года назад

4. Обчисліть 364 26.37 . . . . . . . .​

Приложения:

Ответы

Ответ дал: linasnastya
1

Объяснение:

Там все написано))))))))

Приложения:
Ответ дал: harchukdarina
1

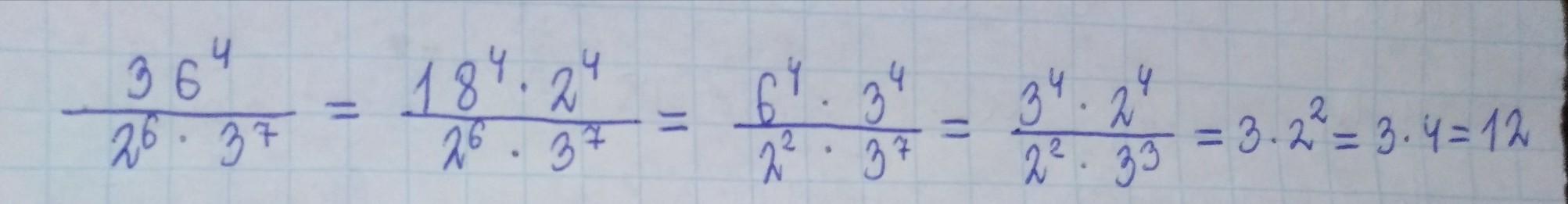
Ответ:

36⁴ 18⁴×2⁴ 6⁴×3⁴ 3⁴×2⁴

-------- = ---------- = --------- = -------- = 3×4 = 12

2⁶×3⁷ 2⁶×3⁷ 2²×3⁷ 2²×3³

Вас заинтересует