• Предмет: Алгебра
  • Автор: zaharuk10
  • Вопрос задан 3 года назад

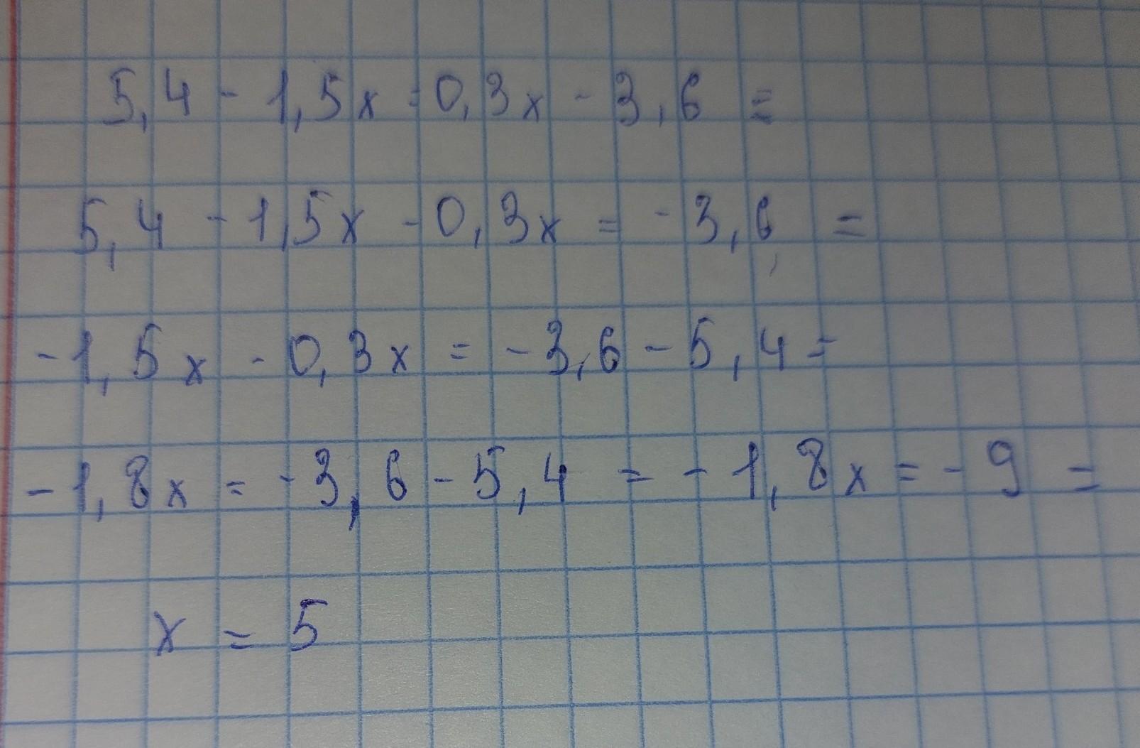
2)5,4-1,5x=0,3x-3,6
Повний ответ

Ответы

Ответ дал: varvarakubrakova96
1

Я думаю что правильно.!

Приложения:
Вас заинтересует