• Предмет: Математика
  • Автор: sneg47853
  • Вопрос задан 3 года назад

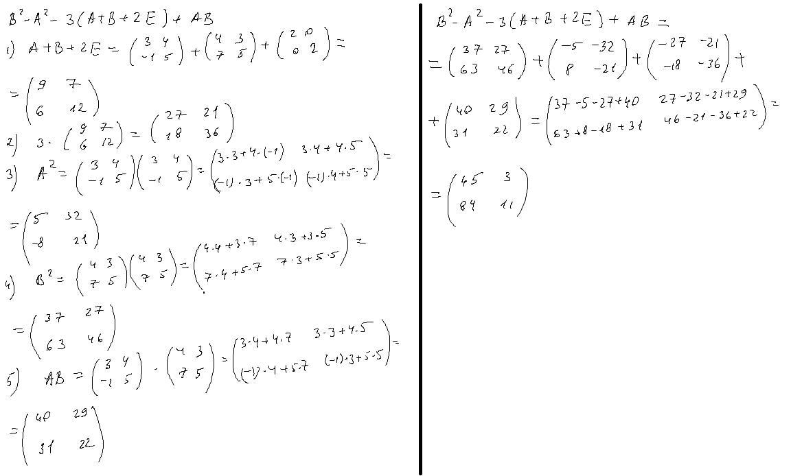
матриці, допоможіть будь ласка​

Приложения:

Ответы

Ответ дал: dashulka22222
1

Відповідь:

Покрокове пояснення:

Приложения:
Вас заинтересует