• Предмет: Математика
  • Автор: asylkhan10
  • Вопрос задан 3 года назад

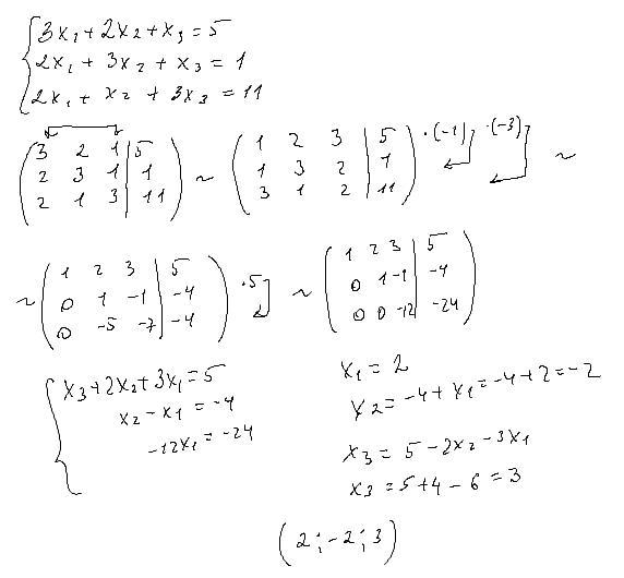
Решить методом Гаусса срочно понятно

Приложения:

Ответы

Ответ дал: dashulka22222
0

Відповідь:

(2;-2;3)

Покрокове пояснення:

Приложения:

asylkhan10: Как рассчитали х1?
dashulka22222: -24:-12
Вас заинтересует