• Предмет: Физика
  • Автор: INDIANkot
  • Вопрос задан 3 года назад

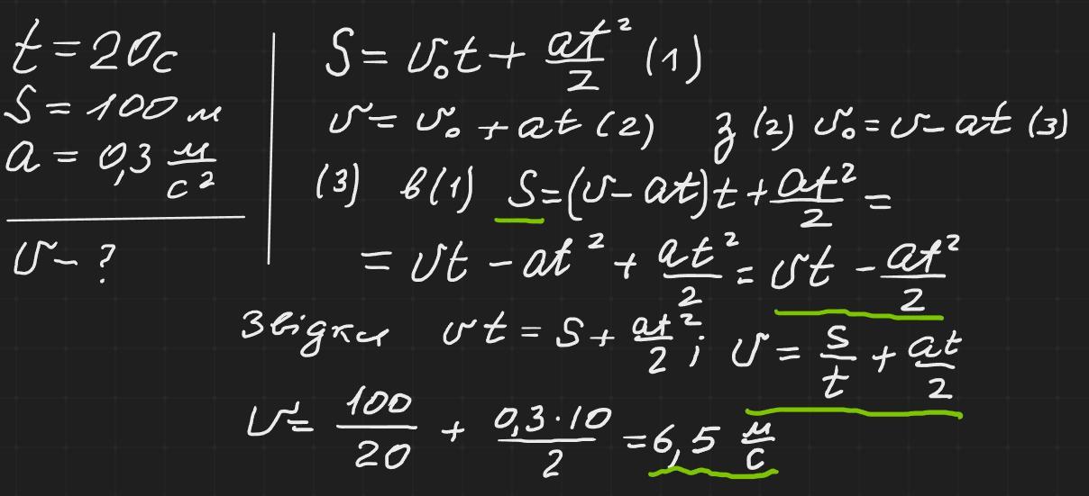
Хлопчик з’їхав за 20 с з гори, довжина схилу якої 100 м. Яку швидкість мав лижник в кінці схилу, якщо прискорення руху становило 0,3 м/с2?

Ответы

Ответ дал: zybkov1950
4

Відповідь: 6,5 м/с

Пояснення:

Приложения:

zybkov1950: Вибачте! Помилився при обчисленнях. Має бути: v= (100/20) +(0,3*20)/2=8. Відповідь : швидкість в кінці схилу 8 м/с
INDIANkot: Спасибо
Вас заинтересует