• Предмет: Алгебра
  • Автор: Lia3t
  • Вопрос задан 3 года назад

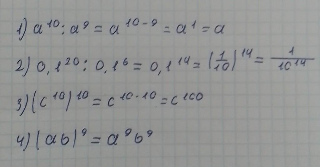
a¹⁰ : a⁹ =
0,1²⁰ : 0,1 ⁶ =
(c¹⁰)¹⁰ =
(a •b)⁹ =
Срочно!!!!

Ответы

Ответ дал: nastya55445676
0

Объяснение:

дпполнссолвоуттвимуитвоврицмммврвррв

( всё на фото )

Приложения:
Вас заинтересует