• Предмет: Физика
  • Автор: alexfreeaman9
  • Вопрос задан 3 года назад

50 баллов
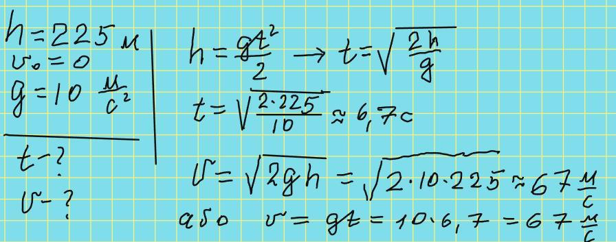
З обьекту, що знаходиться на висоті 225м, скинуто вантаж. Який час падіння та
яка швидкість в момент падіння?

Ответы

Ответ дал: zybkov1950
1

Відповідь: ≈ 6,7 с       ≈67 м/с

Пояснення:

Приложения:

Аноним: Доброго дня, даю 100 балів за вирішення, можете будь ласка допомогти з вирішенням задачі. Вона опублікована остання на моїй сторінці Даю 100 балів. І відразу відмічу вашу відповідь як найкращу. Дуже треба. Буду вам дуже вдячна !)
Вас заинтересует