• Предмет: Математика
  • Автор: angelinasapoval5
  • Вопрос задан 3 года назад

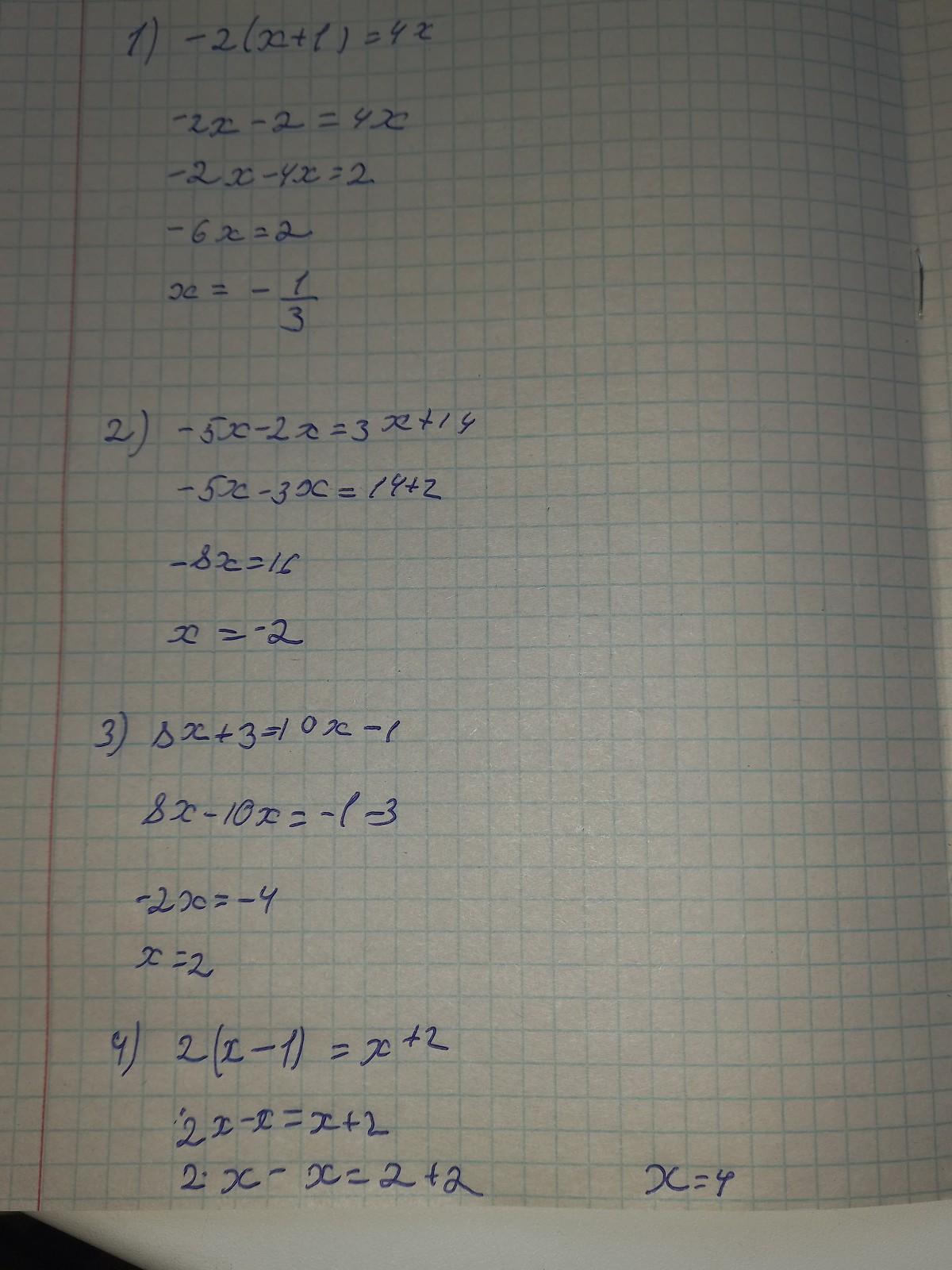
-2(x+1)=4x
-5x-2=3x+14
8x+3=10x-1
2(x-1)=x+2

Ответы

Ответ дал: kiril765476
1

возможно помог хз

.

.

.

.

.

Приложения:
Вас заинтересует