• Предмет: Алгебра
  • Автор: olesyaevtina
  • Вопрос задан 3 года назад

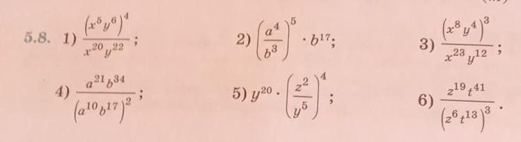
помогите пожалуйста решить задание ​

Приложения:

Ответы

Ответ дал: evgeniya1309
0

Ответ:

если помогла отметь пожалуйста как лучший

Приложения:
Вас заинтересует