• Предмет: Алгебра
  • Автор: SevaCatic
  • Вопрос задан 3 года назад

СРОЧНО.ДАМ 80 БАЛЛОВ.
СФОТКАЙТЕ СВОЕ РЕШЕНИЕ С ЛИСТОЧКА ОБЯЗАТЕЛЬНО ПОКАЖИТЕ ПОДРОБНОЕ РЕШЕНИЕ И ОБЪЯСНЕНИЕ

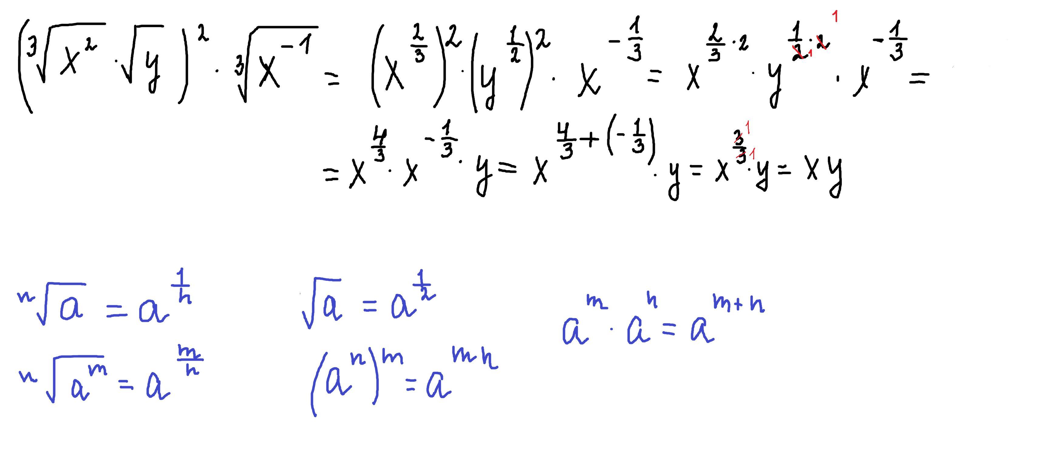
Приложения:

SevaCatic: Да ,второй Х в -1 степени
SevaCatic: Если не видно нажмите на лупу

Ответы

Ответ дал: manyny06
1

Ответ:

решение смотри на фотографии

Приложения:
Ответ дал: parus77
1

Ответ:

ху

Объяснение:

решение внизу,формулы там же.

где не понятно-напишите.

Приложения:
Вас заинтересует