• Предмет: Алгебра
  • Автор: Neznaika318
  • Вопрос задан 3 года назад

Помогите дам 30 балов​

Приложения:

Ответы

Ответ дал: Universalka
1

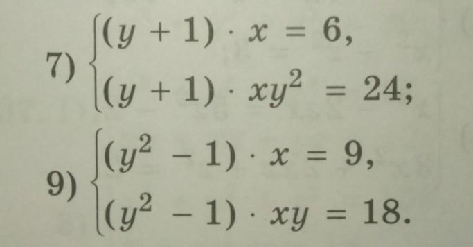
\displaystyle\bf\\1)\\\\\left \{ {{(y+1)\cdot x=6} \atop {(y+1)\cdot xy^{2} =24}} \right. \\\\\\:\left \{ {{(y+1)\cdot xy^{2} =24} \atop {(y+1)\cdot x=6}} \right. \\-----------\\y^{2} =4\\\\y_{1} =-2 \  \ ;\  \ y_{2} =2\\\\x_{1} =\frac{6}{y_{1} +1} =\frac{6}{-2+1} =\frac{6}{-1} =-6\\\\\\x_{2} =\frac{6}{y_{2} +1} =\frac{6}{2+1} =\frac{6}{3} =2\\\\\\Otvet \ : \ (-6 \ ; \ -2) \ , \ (2 \ ; \ -6)

\displaystyle\bf\\2)\\\\\left \{ {{(y^{2} -1)\cdot x=9} \atop {(y^{2}- 1)\cdot xy =18}} \right. \\\\\\:\left \{ {{(y^{2} -1)\cdot xy=18} \atop {(y^{2} -1)\cdot x=9}} \right.\\-----------\\y=2\\\\\\x=\frac{9}{y^{2} -1} =\frac{9}{2^{2} -1} =\frac{9}{4-1} =\frac{9}{3} =3\\\\\\Otvet \ : \ (3 \ ; \ 2)


Neznaika318: ема спасибо большое
Universalka: Пожалуйста
Вас заинтересует