• Предмет: Алгебра
  • Автор: pupil453
  • Вопрос задан 3 года назад

кто знает помогите, кто не знает не мешайте пж, мне надо срочно это сдать, даю 40 балов​

Приложения:

Ответы

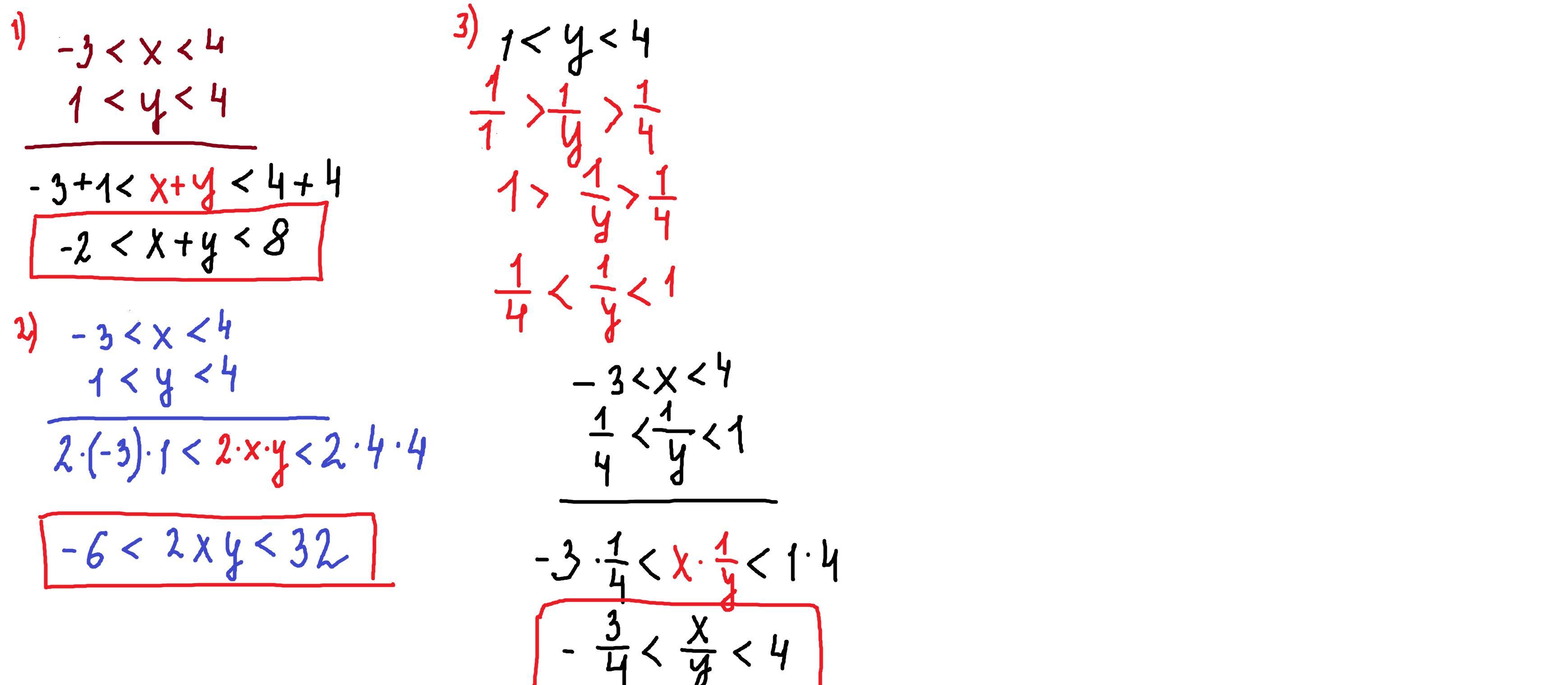
Ответ дал: Ihateworld
0

Ответ:

1. 1) -2<х+у<8 2)-6<2ху<32 3)-3<х/у<

Объяснение:

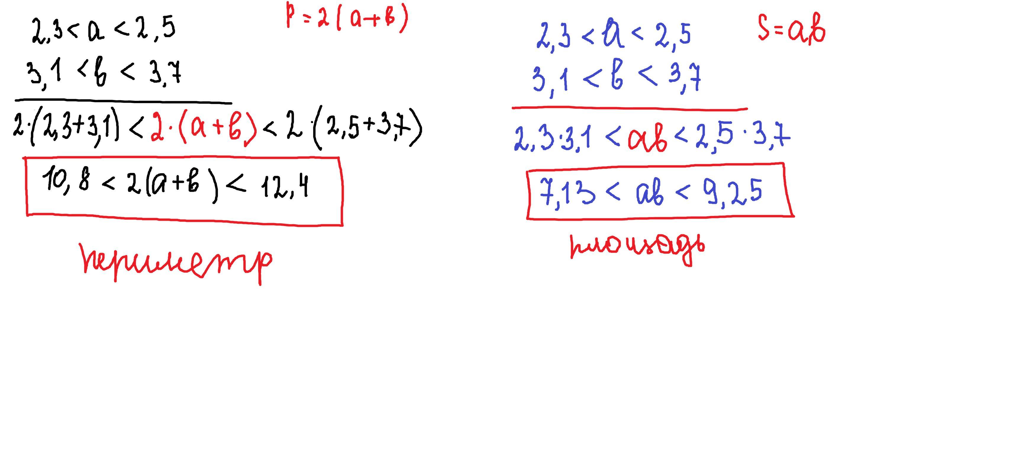
Ответ дал: parus77
0

Ответ:

Объяснение:

решение внизу

Приложения:
Вас заинтересует