• Предмет: Алгебра
  • Автор: eldoe6463
  • Вопрос задан 3 года назад

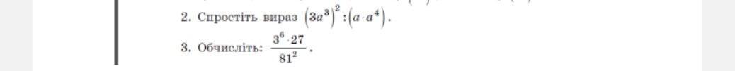
Помогите с 3 заданием пж

Приложения:

Ответы

Ответ дал: andreyyhy
0

Ответ:

3

Объяснение:

смотри во вложении дадв

Приложения:
Вас заинтересует