• Предмет: Алгебра
  • Автор: gulcehra511
  • Вопрос задан 3 года назад

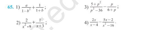
Сложите и вычтите алгебраические дроби.Помогите пж.Решите подробно если можно!!!!!!!

Приложения:

Ответы

Ответ дал: kochkarbaikyzygauhka
3

прости что не написала подробно, вот надеюсь правильно!

Приложения:
Вас заинтересует