Допоможіть будь ласка розв'язати рівняння з дробовим коєфіцієнтом ДАЮ 20 БАЛІВ
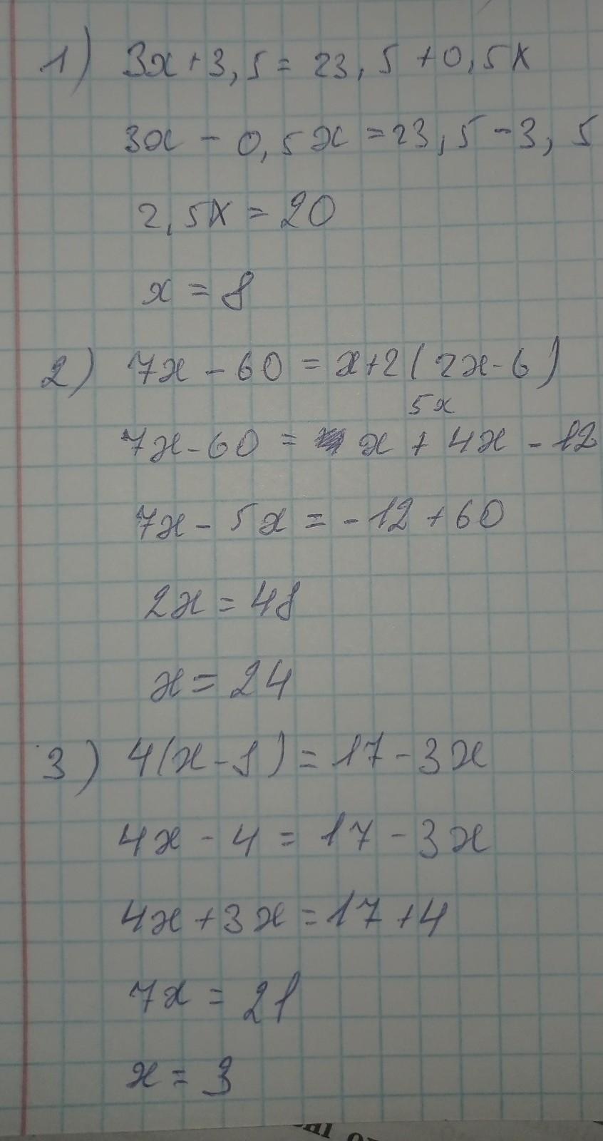
1. 3x+3,5=23,5+0,5x;
2. 7x-60=x+2 (2x-6);
3. 4 (x-8)=17-3x;
Ответы
Ответ дал:
1
Ответ:
........................
Приложения:

Вас заинтересует
2 года назад
2 года назад
2 года назад
2 года назад
7 лет назад