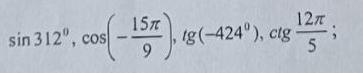
Приведите тригонометрическую функцию произвольного аргумента к тригонометрической функции острого угла
Приложения:

Ответы
Ответ дал:
1
Ответ:
решение смотри на фотографии
Приложения:

Вас заинтересует
2 года назад
2 года назад
7 лет назад
9 лет назад