Блок схему нужно
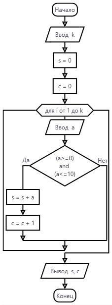
2) С клавиатуры вводиться К чисел . Определить сумму и количество чисел , лежащих в диапазоне от 0 до 10 включительно
Ответы
Ответ дал:
1
Ответ:
скрин
Объяснение:
- ввод количества чисел, которые будут введены, k
- присвоение начального значения переменой s, которую будем использовать для подсчёта суммы чисел, которые подходят под условие
- присвоение начального значения переменой c, которую будем использовать для подсчёта количества чисел, которые подходят под условие
- цикл со счётчиком
- ввод числа a
- проверка числа на соответствие условию
- подсчёт суммы, если число соответствует условию
- подсчёт количества, если число соответствует условию
- вывод суммы и количества чисел
Приложения:

Вас заинтересует
2 года назад
2 года назад
2 года назад
7 лет назад
9 лет назад