• Предмет: Алгебра
  • Автор: lovelyzlatuha
  • Вопрос задан 3 года назад

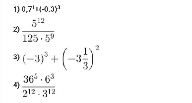
Срочно, даю 40 баллов!!!​

Приложения:

Ответы

Ответ дал: umitkalibek03
0

Объяснение:

еотпьпщулнтьдезізіідтулаща

Ответ дал: Softnex
0

ОчнадасориВідповідь:

Пояснення:

Вас заинтересует