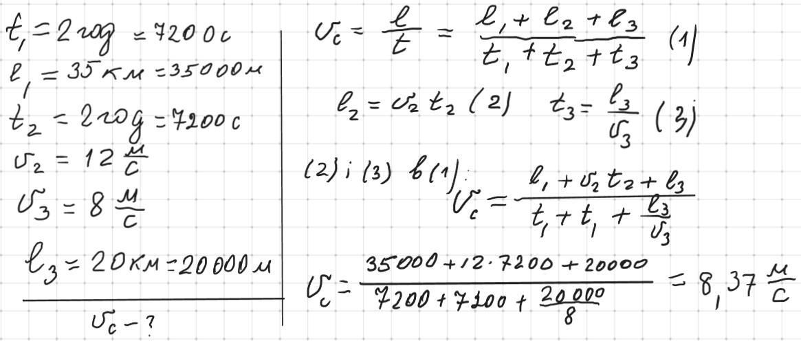
За перші дві години велосипедист проїхав 35 км, протягом наступних двох
годин він рухався зі швидкістю 12 м/с, потім, зменшивши швидкість до 8
м/с, проїхав ще 20 км. Знайти середню швидкість велосипедиста на цьому
шляху.
Ответы
Ответ дал:
0
Відповідь: ≈ 8,37 м/с
Пояснення:
Приложения:
Вас заинтересует
2 года назад
2 года назад
2 года назад
2 года назад
8 лет назад
8 лет назад
9 лет назад