Ответы
Ответ дал:
0
Объяснение:
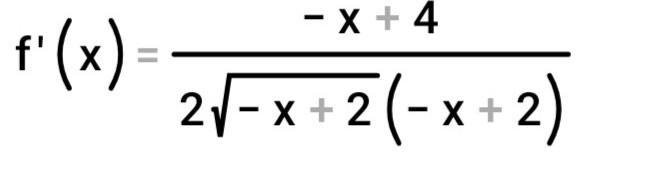
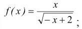
сначала надо использовать правило дифференцирования, дифференцировать,и потом упростить
Приложения:

Вас заинтересует
2 года назад
2 года назад
2 года назад
7 лет назад
9 лет назад