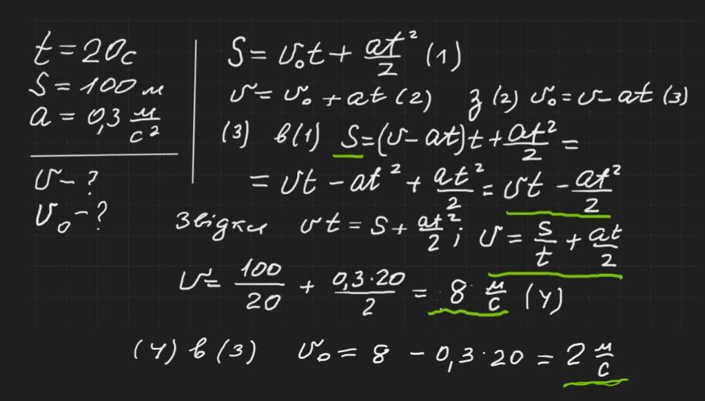
Автомобіль за 20с пройшов шлях 100м. Визначте початкову і кінцеву швидкість автомобіля, якщо він рухався з прискоренням 0,3м/с (в квадраті)
ДАЮ 80 балов!!!!
Приложения:

Ответы
Ответ дал:
2
Відповідь: 2 м/с 8 м/с
Пояснення:
Приложения:

Вас заинтересует
2 года назад
2 года назад
2 года назад
7 лет назад
7 лет назад
9 лет назад