• Предмет: Физика
  • Автор: misyrapetro
  • Вопрос задан 3 года назад

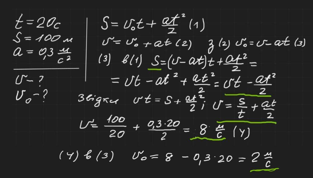
Аітомобіль за 20с пройшов шлях 100м. Визначити початкову і кінцеву швидкість автомобіля, якщо він рухався з прискоренням 0,3м/с(в квадраті)

Ответы

Ответ дал: zybkov1950
1

Відповідь: 2 м/с              8 м/с

Пояснення:

Приложения:
Вас заинтересует