• Предмет: Алгебра
  • Автор: konkovapolina420
  • Вопрос задан 3 года назад

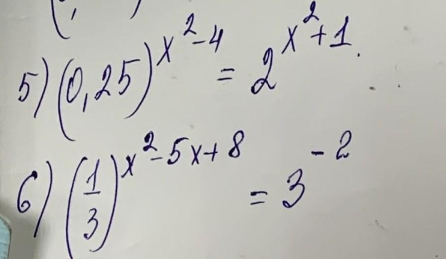
алгебра, показат уравнения ​

Приложения:

Ответы

Ответ дал: Universalka
0

\displaystyle\bf\\5)\\\\\Big(0,25\Big)^{x^{2} -4} =2^{x^{2} +1} \\\\\\\Big(\frac{1}{4} \Big)^{x^{2} -4} =2^{x^{2} +1}\\\\\\\Big(2^{-2} \Big)^{x^{2} -4} =2^{x^{2} +1}\\\\\\2^{-2x^{2} +8} =2^{x^{2} +1}\\\\\\-2x^{2} +8=x^{2} +1\\\\\\3x^{2} =7\\\\\\x^{2} =2\frac{1}{3} \\\\\\x_{1,2} =\pm \ \sqrt{2\frac{1}{3} }

\displaystyle\bf\\\Big(\frac{1}{3} \Big)^{x^{2} -5x+8} =3^{-2} \\\\\\\Big(\frac{1}{3} \Big)^{x^{2} -5x+8} =\Big(\frac{1}{3} \Big)^{2} \\\\\\x^{2} -5x+8=2\\\\\\x^{2}-5x+6=0\\\\\\Teorema \ Vieta \ :\\\\x_{1} + x_{2} =5\\\\x_{1} \cdot x_{1} =6\\\\x_{1} =2 \  \  \ , \  \  \ x_{2} =3

Вас заинтересует