• Предмет: Математика
  • Автор: raim0007
  • Вопрос задан 3 года назад

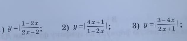
помагите пж срочнооооо​

Приложения:

Ответы

Ответ дал: ubaidullauliazamat06
1

Ответ:

1)x1=0.5 , x2=1.

2)x1=-1/4 , x2=0.5.

3)x1=3/4,  x2=-0.5


ubaidullauliazamat06: можете как лучший ответ отметить?
Вас заинтересует