• Предмет: Физика
  • Автор: Аноним
  • Вопрос задан 3 года назад

Срочно нужно только с объяснием пожалуйста.

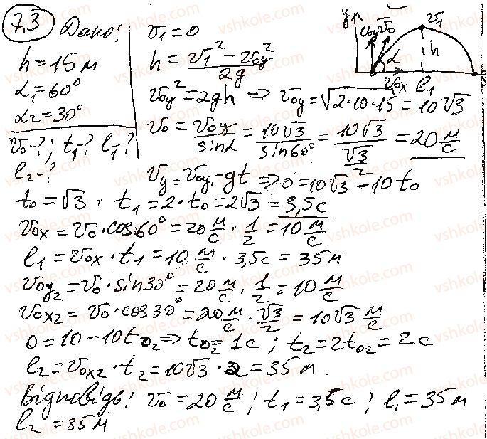
Струмінь води, напрямлений під кутом 60° до горизонту, сягнув висоти 15 м. 1) Знайдіть: а) швидкість витікання води; б) час польоту частинок стру- меня; в) дальність польоту частинок струменя. 2) Якою буде дальність струменя, якщо спрямувати його під кутом 30° до горизонту, 3) Чому струмінь води розширюється? ​

Ответы

Ответ дал: lkek3043
4

Ответ:

Объяснение:

всё на фото

Приложения:
Вас заинтересует