• Предмет: Алгебра
  • Автор: Аноним
  • Вопрос задан 3 года назад

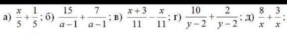
ВООПРОС НА ФОТО АЛГЕБРА 8 КЛАС​

Приложения:

Ответы

Ответ дал: losermisen0
1

Объяснение:

))))>))))>)))>)))))))))

Приложения:
Вас заинтересует