• Предмет: Алгебра
  • Автор: Demarco99
  • Вопрос задан 3 года назад

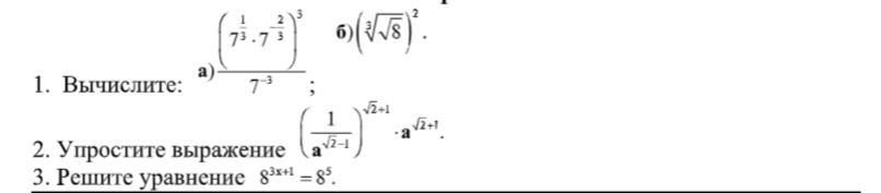
Помогите пожалуйста с решением

Приложения:

Ответы

Ответ дал: manyny06
2

Ответ:

решение смотри на фотографии

Приложения:
Вас заинтересует