• Предмет: Физика
  • Автор: kcamillas1312
  • Вопрос задан 3 года назад

здрастуйте! ну дуууже потрібна допомога. самостійна робота з фізики, здавати треба завтра, часу обмаль ;( я звичайно знайшла одну відповідь, але для 7 класу вона дуже складна. зможете вирішити задачу? але бажано за допомогою формул, а не рівняння.
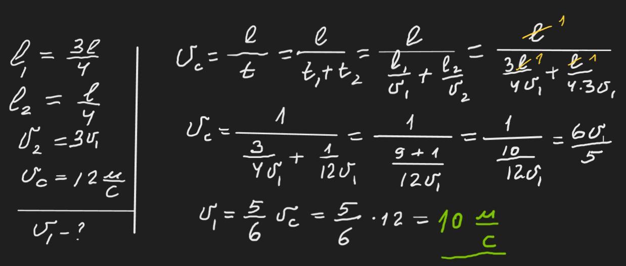
«Останню чверть шляху катер рухався зі швидкістю втричі більшою, ніж на першій частині шляху. Середня швидкість руху катера на всьому шляху становить 12 м/с. Визнач швидкість катера на першій частині шляху.» ​

Ответы

Ответ дал: zybkov1950
8

Відповідь: 10 м/с

Пояснення:

Приложения:

kcamillas1312: спасибо большое!
Вас заинтересует