• Предмет: Алгебра
  • Автор: may12dc
  • Вопрос задан 3 года назад

Помогите пожалуйста решить. Очень срочно нужно

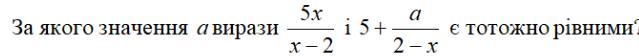
Приложения:

Ответы

Ответ дал: ostapenko981
0

Объяснение:

5x/x-2=5+a/2-x

5x/x-2=(10-5x+a)/2-x

5x/x-2=5x-10-a/x-2

a=-10

Вас заинтересует