• Предмет: Алгебра
  • Автор: sanjokdq53
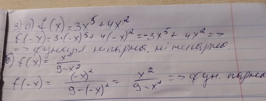
  • Вопрос задан 3 года назад

Даю 100 балов срочно!!!!!!!!

Приложения:

Ответы

Ответ дал: biloust10
1

Ответ:

4 не знаю, але щось зробила)

Приложения:

sanjokdq53: Спасибі
Вас заинтересует