• Предмет: Алгебра
  • Автор: 1503liza08
  • Вопрос задан 3 года назад

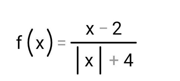
ПОМОГИТЕ , ОБЛАСТЬ ВИЗНАЧЕННЯ ФУНКЦИИ ​

Приложения:

Ответы

Ответ дал: arielxxxxl
0

Відповідь: Х Є R

Пояснення:

R= усі дійсні числа

Вас заинтересует