• Предмет: Математика
  • Автор: horitonenkovova014
  • Вопрос задан 3 года назад

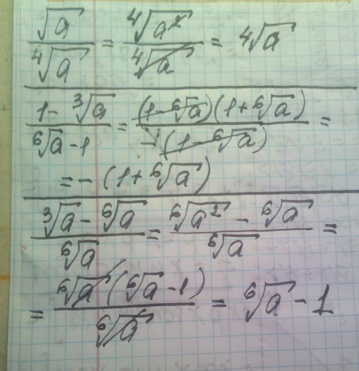
сократите дробь пожалуйста!

Приложения:

Ответы

Ответ дал: manyny06
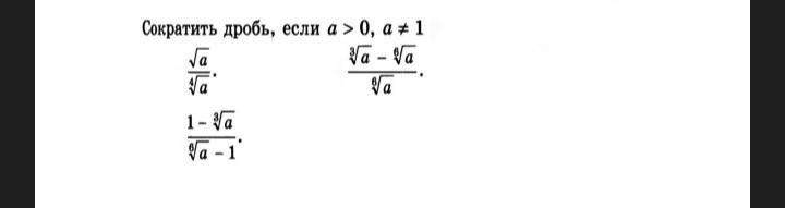
1

Ответ:

решение смотри на фотографии

Приложения:

horitonenkovova014: спасибо!
Вас заинтересует