• Предмет: Информатика
  • Автор: Аноним
  • Вопрос задан 10 лет назад

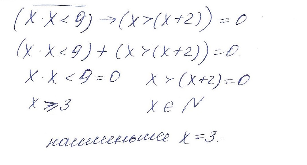
Каково наименьшее натуральное число X, при котором высказывание
¬(X·X < 9) → (X >(X + 2))будет ложным?
ОБязательно с рисунком и подробным решением 

Ответы

Ответ дал: Sky09
0
Во вложении
-------------------
Ответ: 3
Приложения:
Вас заинтересует