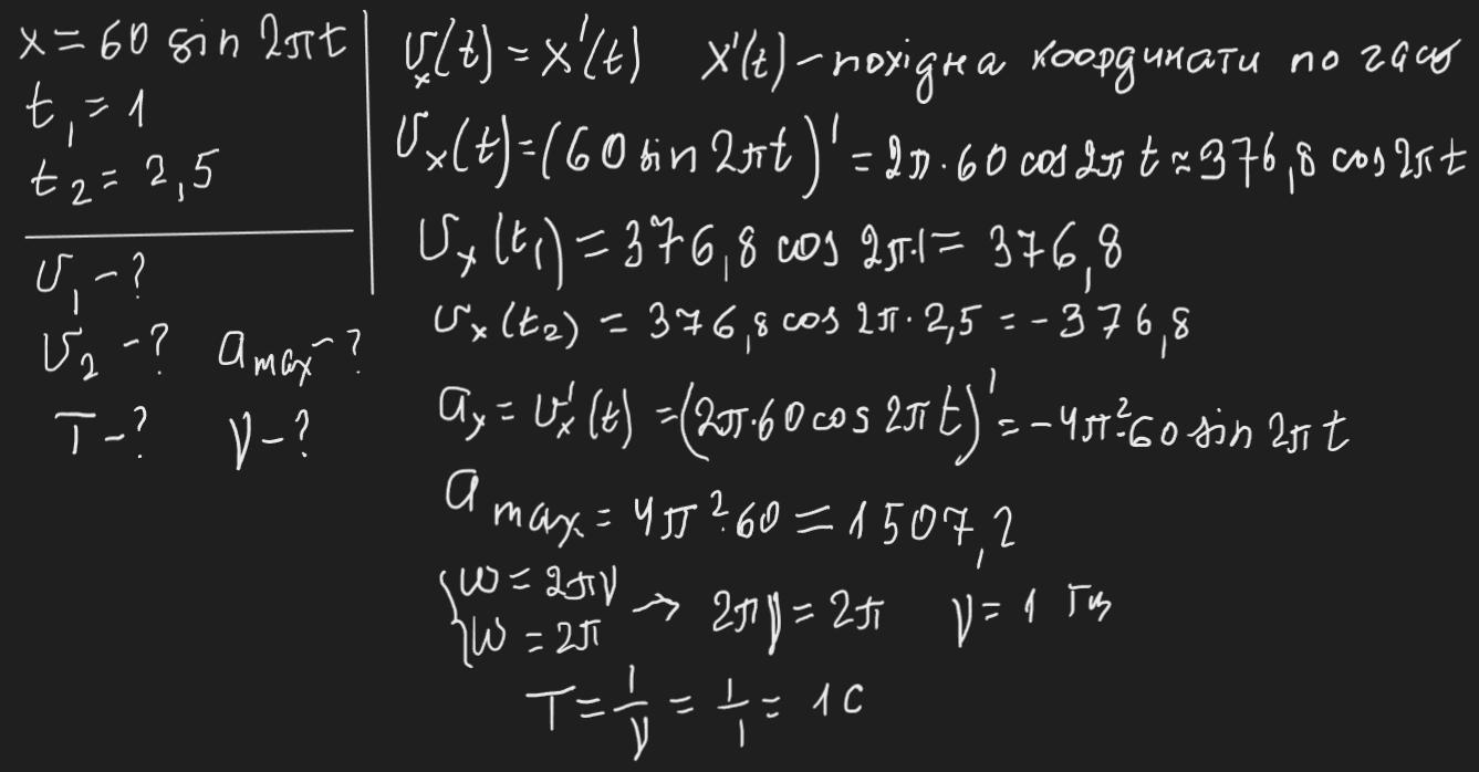
Тіло здійснює гармонійні коливання x=60 sin2pt визнчіть максимальне прискорення і швидкість при t1=1 t2=2.5
А також період і частоту коливань
Ответы
Ответ дал:
0
Відповідь: Див. додаток
Пояснення:
Приложения:

Вас заинтересует
2 года назад
2 года назад
2 года назад
2 года назад
7 лет назад
7 лет назад