• Предмет: Алгебра
  • Автор: olesyaevtina
  • Вопрос задан 3 года назад

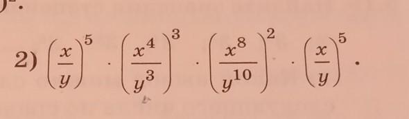
упростите выражение ​

Приложения:

Ответы

Ответ дал: karpushunaa
0

Ответ:

ответ на фото

надеюсь понятно

Приложения:
Вас заинтересует