• Предмет: Алгебра
  • Автор: thulaya36
  • Вопрос задан 3 года назад

даю 50 балів, допоможіть будь ласка

Приложения:

Ответы

Ответ дал: Universalka
1

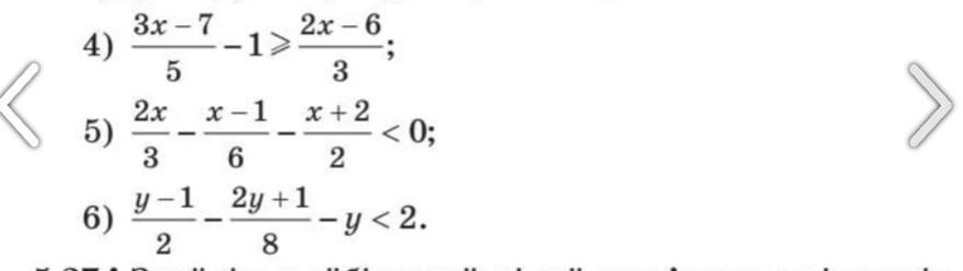
\displaystyle\bf\\4)\\\\\frac{3x-7}{5} -1\geq \frac{2x-6}{3} \\\\\\\frac{3x-7}{5}\cdot 15 -1\cdot 15\geq \frac{2x-6}{3} \cdot 15\\\\\\(3x-7)\cdot 3-15\geq (2x-6)\cdot 5\\\\9x-21-15\geq 10x-30\\\\9x-36\geq 10x-30\\\\9x-10x\geq -30+36\\\\-x\geq 6\\\\x\leq -6\\\\Otvet \ : \ x\in\Big(-\infty \ ; \ -6\Big]\\\\\\5)\\\\\frac{2x}{3} -\frac{x-1}{6}-\frac{x+2}{2} < 0 \\\\\\\frac{2x}{3} \cdot 6-\frac{x-1}{6}\cdot 6-\frac{x+2}{2}\cdot 6 < 0 \cdot 6\\\\\\2x\cdot 2-(x-1)-(x+2)\cdot3 < 0

\displaystyle\bf\\4x-x+1-3x-6 < 0\\\\4x-x-3x < 6-1\\\\0\cdot x < 5\\\\Otvet \ : \ x\in \ R\\\\\\6)\\\\\frac{y-1}{2} -\frac{2y+1}{8} -y < 2\\\\\\\frac{y-1}{2} \cdot 8-\frac{2y+1}{8} \cdot 8-y\cdot 8 < 2\cdot 8\\\\\\(y-1)\cdot 4-(2y+1)-8y < 16\\\\4y-4-2y-1-8y < 16\\\\-6y < 16+5\\\\-6y < 21\\\\y > -3,5\\\\Otvet \ : \ y\in \Big(-3,5 \ ; \ +\infty\Big)

Вас заинтересует