• Предмет: Алгебра
  • Автор: sswytq
  • Вопрос задан 3 года назад

Помогите пожалуйста, срочно!!! желательно как можно подробнее​

Приложения:

Ответы

Ответ дал: kirachuieva34
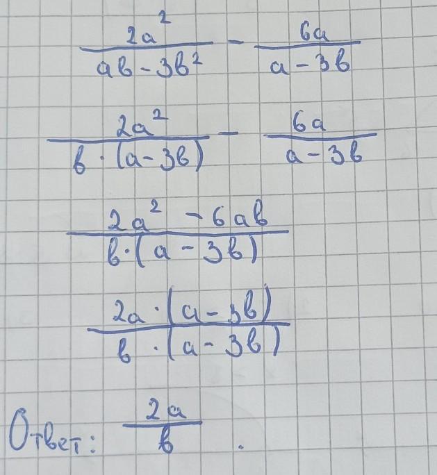
1

в А2 мы решили пример и представили в виде несократимой дроби.

в А3 мы решили пример и упростили его.

Приложения:
Вас заинтересует