• Предмет: Алгебра
  • Автор: stasbla68
  • Вопрос задан 3 года назад

ДАМ 100 Б
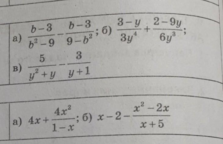
помогите пожалуйста, фото прикрепил

Приложения:

Ответы

Ответ дал: v3000
1

Ответ:

ответ на фото во вложении

Приложения:

v3000: можно пожалуйста лучший ответ для нового уровня нужно пожалуйста
stasbla68: спасибо за ответ, мне поставили хорошую оценку
v3000: пожалуйста рада была помочь
Вас заинтересует