• Предмет: Алгебра
  • Автор: ilde
  • Вопрос задан 3 года назад

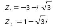
1 скрин)вычислить произведение и частное двух комплексных чисел в тригонометрической форме
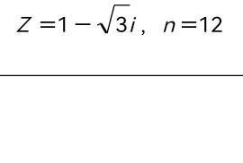
2 скрин) применяя формулу Муавра, найти z^n

Приложения:

Ответы

Ответ дал: kamilmatematik100504
1

Ответ:

№1

z_1 \cdot z_2 = 4\sqrt{3} \bigg(\cos \dfrac{5\pi }{6} + \sin \dfrac{5\pi }{6}  i\bigg)

\displaystyle \dfrac{z_1}{z_2}  = \sqrt{3} \bigg(\cos  \dfrac{3\pi }{2}  + i \sin\dfrac{3\pi }{2}\bigg  )

№2

\displaystyle z^n =16 + 16\sqrt{3}  i

Объяснение:

№1

Вычислить произведение и частное двух комплексных чисел в тригонометрической форме

z_1 = -3 - i\sqrt{3}

z_2 = 1 -\sqrt{3} i

Находим произведение :

z_1 \cdot z_2 = (-3-i\sqrt{3} )(1-\sqrt{3} i )  = -3 - i\sqrt{3} +3\sqrt{3} i -3 = \\\\ =   -6+2\sqrt{3} i

Запись числа z = a + bi в виде  

z= r(\cos \varphi  + i \sin \varphi )  называется тригонометрической формой числа

|z|=r = \sqrt{a^2+b^2}

Находим тригонометрическую форму для числа  - 6+ 2\sqrt{3} i

r= \sqrt{(-6)^2+ (2\sqrt{3}) ^2}=\sqrt{36 + 12} = 4\sqrt{3}

\displaystyle- 6+ 2\sqrt{3} i = 4\sqrt{3}   \bigg(-\frac{\sqrt{3}}{2} + \frac{1}{2} i \bigg) = 4\sqrt{3} \bigg(\cos \frac{5\pi }{6} + \sin \frac{5\pi }{6}  i\bigg)

\star ~\cos \dfrac{5\pi }{6} = -\dfrac{\sqrt{3} }{2} ~ \star

Находим частное :

\displaystyle \dfrac{z_1}{z_2}  =\frac{-3-i\sqrt{3} }{1-\sqrt{3} i }\cdot \frac{1+\sqrt{3}i }{1+ \sqrt{3} i }  =\frac{(-3 - i\sqrt{3} )(1+\sqrt{3} i)}{1^2 - (\sqrt{3} i)^2}  =\frac{\not \!\!\!\!\!-3 -i\sqrt{3} -3\sqrt{3}i +\not \!3}{1+3} = \\\\\\\ =\frac{-4\sqrt{3} i }{4}  = - \sqrt{3} i

Находим тригонометрический вид данного числа

r=\sqrt{(\sqrt{3} )^2+0^2} = \sqrt{3}

-\sqrt{3} i  = \sqrt{3}(0 - i )  = \sqrt{3} \bigg(\cos  \dfrac{3\pi }{2}  + i \sin\dfrac{3\pi }{2}\bigg  )

№2

Для нахождения ,  сначала найдем тригонометрический вид для числа  1- \sqrt{3}  i

r = \sqrt{1^2 + (-\sqrt{3} )^2}  = 2

\displaystyle 1- \sqrt{3} i  = 2  \bigg(\frac{1}{2} -\frac{\sqrt{3}}{2}   i \bigg ) = 2\bigg(\cos \bigg (-\frac{\pi }{3} \bigg ) + \sin \bigg (-\frac{\pi }{3}\bigg)\cdot  i \bigg)

Формула Муавра :

z^n = \big (  r(\cos \varphi  + i\sin \varphi ) \big )^n = r^n (\cos n \varphi  + i \sin  n \varphi )~ , ~ n \in \mathbb  N

Вычисляем  zⁿ

(\displaystyle 1- \sqrt{3} i)^5  =\left (   2\bigg(\cos \bigg (-\frac{\pi }{3} \bigg ) + \sin \bigg (-\frac{\pi }{3}\bigg)\cdot  i \bigg)\right )^5  =\\\\\\\ = 2^5 \Bigg(\cos\bigg(-\frac{5\pi }{3}  \bigg) + \sin\bigg (-\frac{5\pi }{3} \bigg ) \cdot i \Bigg )  = \\\\\\\\=32 \Bigg(\cos\bigg(\frac{\pi }{3}  \bigg) + \sin\bigg (\frac{\pi }{3} \bigg ) \cdot i \Bigg ) =32\bigg ( \frac{1}{2}  + \frac{\sqrt{3} }{2}i  \bigg ) = 16 + 16\sqrt{3}  i

Вас заинтересует