• Предмет: Математика
  • Автор: crccrrcrcrcrrc
  • Вопрос задан 3 года назад

срочно помогите пожалуйста помогите пожалуйста ​

Приложения:

Ответы

Ответ дал: kajrzankamila
0

Ответ:

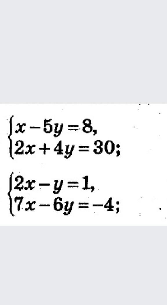
x—5y=8

2x+4y=30; ;2x—y=1

7x—6y=–4

Вас заинтересует