• Предмет: Алгебра
  • Автор: Sat125
  • Вопрос задан 3 года назад

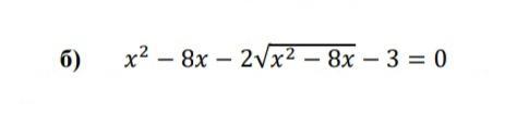
допоможіть розв'язати ірраціональне рівняння

Приложения:

Ответы

Ответ дал: manyny06
1

Ответ:

решение смотри на фотографии

Приложения:

Sat125: дякую, тобі добра людинка
Ответ дал: ignatevaira5
1

Ответ:

глянь фото

Объяснение:

там же объяснила

Приложения:

Sat125: ой, дякую!!!!!!
ignatevaira5: пожалуйста, буду рада помогать дальше
Вас заинтересует